深圳宏力捷是一家專業的PCB設計公司,公司擁有平均設計經驗超過10年的設計工程師團隊,能夠提供各類多層、高頻、高速等電路板的布線設計服務。接下來為大家介紹PCB設計如何加速和改進PCB布線。
PCB布線方法在不斷進步,靈活的布線技術可以縮短導線長度,釋放更多的PCB空間。傳統PCB布線受到導線坐標固定和缺少任意角度導線的限制。去除這些限制可以顯著改善布線的質量。本文將通過實際例子介紹任意角度布線的優勢、靈活布線的優勢以及一種用于構造Steiner樹的新算法。
背景
我們首先來介紹一些術語[1-3]。我們將任意角度布線定義為使用任意角度的線段和弧度進行的導線布線。它是一種導線布線,但不限于只能使用90度和45度角度的線段。拓撲式布線是不粘附柵格和坐標的導線布線,不使用像基于形狀的布線器那樣的規則或不規則柵格。讓我們把術語靈活布線定義為沒有形狀固定的導線布線,能夠通過實時導線形狀再計算實現下文的轉變可能性。只有來自障礙物的圓弧和它們的公切線被用來形成走線形狀[4,5]。(障礙物包括引腳、銅箔、禁布區、過孔和其它物體)
圖1顯示了兩種PCB模型的部分電路。其中的綠色導線和紅線導線分別走在PCB模型的不同層上。藍色圓圈是過孔。紅色元件被高亮顯示。另外有一些紅色的圓形引腳。圖1a是只使用線段和線段間夾角為90度的模型。圖1b是使用弧和任意角度的PCB模型。也許任意角度布線看起來很奇怪,但它確實有許多優勢。它的這種布線方式與半個世紀前工程師的手工布線方式非常類似。
圖1:兩種PCB模型的部分電路。頂圖:傳統設計版本。底圖:同樣的設計但采用了任意角度的布線。
圖2顯示了一家名為Digibarn的美國公司在1972年開發的完全手工布線的真實PCB。這是一塊基于Intel 8008的計算機內的PCB板。圖2所示的任意角度布線事實上與圖1b很相似。為何他們會使用任意角度的布線呢?因為這種布線方式有許多優勢。
圖2:1972年開發的一塊基于Intel 8008的計算機中的印刷電路板。(資源來源:DigiBarn計算機博物館)
任意角度布線的優勢
任意角度布線有許多優勢。首先,不使用線段間的角度可以節省PCB空間(多邊形所占的空間總是要大于內切圓)。
傳統的自動布線器在緊鄰元件之間只能布3根線(見圖3中的左邊和中間)。而任意角度布線時的空間足以在相同路徑上布4根線而不違反設計規則檢查(DRC),見圖3右邊。
圖3:左邊和中間的圖:傳統自動布線器在緊鄰元件之間只能布3根線。右圖:任意角度布線時的空間足以在相同路徑上布4根線而不違反DRC。
假設我們有一個正方式芯片,想把芯片引腳連接到另外兩列引腳(見圖4)。只使用90度夾角要占很大的面積(見圖4頂部)。
圖4:正方形芯片布線:(頂部)正交版圖布線要求很大的面積;(中間)任意角度布線不僅有助于縮短導線長度,而且在確保滿足所有要求的同時占用更小的面積;(底部)旋轉芯片可以提供更好的效果,占用面積可以進一步縮小兩倍以上。
使用任意角度布線可以縮短芯片和其它引腳之間的距離(圖4中間),同時減小占用面積。在本例中,面積從30平方厘米縮小到了23平方厘米。
任意角度旋轉芯片還可以提供更好的效果。在本例中,面積從23平方厘米縮小到了10平方厘米(圖4底部)。圖5顯示了一塊真實的PCB。帶旋轉芯片功能的任意角度布線是這種電路板的唯一布線方法。這不僅是一個理論,也是得到實際應用的解決方案(有時是唯一可行的解決方案)。
圖5:帶旋轉芯片功能的任意角度布線是給這種電路板布線的唯一方法。
圖6顯示了一個簡單PCB的例子。拓撲布線器結果如圖6a所示,而基于最佳形狀的自動布線器結果如圖6b所示。圖6c是實際PCB的照片。基于最佳形狀的自動布線器無法完成這種電路板的布線,因為元件被旋轉成任意角度放置。你需要更多的面積,如果不旋轉元件,設備必須做得更大。
圖6:PCB布線例子:(a)拓撲式自動布線器(完成了100%導線的布線);(b)基于最佳形狀的自動布線器(完成了56.3%的導線布線);(c)實際PCB。
電磁干擾(EMI)
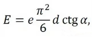
如果沒有并行導線段,版圖性能將得到很大的提升,因為并行導線段經常是串擾的來源。隨著并行導線長度的增長,串擾等級將呈線性增加。當并行導線之間的間距增加時,串擾則呈二次方減小。讓我們把兩條并行的1mm長導線在間距為d時所產生的串擾等級設為e(見圖7)。
如果導線段之間有個夾角,那么當這個夾角增加時,串擾等級將下降。這時的串擾不取決于導線長度,僅受限于夾角值:
其中α代表導線段之間的夾角。
圖7:如何導線段之間有個夾角,那么串擾等級將隨這個夾角的增加而減小(d:導線段之間的距離,α:導線段之間的夾角)。
下面考慮三種導線布線方式。在圖8中的左邊(90度布局),由于并行線段而存在最大的導線長度和最大的電磁干擾值。在圖8的中間(45度布局),導線長度和電磁干擾值都減小了。在圖8的右邊(任意角度),導線長度最短,也沒有并行的導線段,因此干擾值可以忽略不計。
圖8:三種導線布線方式。
因此任意角度布線有助于減小總的導線長度,并顯著減少電磁干擾。另外你應該還記得對信號延時的影響吧(導線方向不應該并行,并且不應該垂直于PCB玻璃纖維方向)。
靈活布線的優勢
元件的人工和自動移動不會破壞靈活布線中的走線。布線器會自動計算導線的最佳形狀(考慮必要的安全間隙)。因此靈活布線可以極大地減少編輯拓撲所需的時間,很好地支持因為要滿足限制條件而做的多次重新布線。圖9a顯示的是一個PCB設計,移動過孔和分支點后的結果如圖9b所示。
圖9:自動移動過孔(淡藍色圓)和分支點。(a)原始設計的一部分,(b)移動過孔后的設計,(c)分支點(3條紅色導線)被自動移動到最佳位置。
在自動移動過程中,導線分支點和過孔被調整到最佳位置(如圖9c所示)。
在大多數計算機輔助設計(CAD)系統中,布線互連問題被簡化為在焊盤、禁布區和已布好的導線形成的迷宮中按順序尋找成對點之間的路徑問題。當找到一條路徑時,它就被固定下來,并成為迷宮的一部分。順序布線的缺點是布線結果可能與布線的順序有關。
當拓撲質量仍然離完美很遠時,在局部很小的區域將發生“被困住”的問題。但不管你重新布線哪根導線,都無法改善布線的質量。這是在使用順序優化的所有CAD系統中都存在的很嚴重的問題。
這時應用打彎消除過程就很有用了[6]。導線打彎是指某條網絡中的導線想要接入某個物體時必須圍著另一條網絡上的物體四周行走的現象。重新布線一條導線并不能糾正這種現象。
圖10a顯示了一個打彎的例子。一條點亮的紅色導線圍繞另一條網絡的一個引腳行走,一條未點亮的紅色導線接入這個引腳。圖10b顯示了自動處理結果。在第2種情況中(另一層上),一條點亮的綠色導線通過改變布線層得到了自動調整(重新布線)(從綠色層到紅色層)。
圖10:通過自動優化導線形狀消除導線打彎(用線段近似弧線只是為了顯示沒有弧線的任何角度例子)。(頂部)原始設計,(底部)消除打彎后的設計。紅色打彎導線被高亮顯示。
在Steiner樹中,所有連線都必須以線段方式連接到頂點(終點和新增點)。在每個新增頂點的頂部,三個線段必須匯聚在一起,終點的線段不得超過3個。集中到頂點的線段之間的夾角不得小于120度。構造具有這些充足條件性能的Steiner不是很困難,但沒有必要是最小的。圖11中的灰色Steiner樹不是最優的,但黑色Steiner樹是最優的。
圖11:灰色Steiner樹不是最優的,但黑色Steiner樹是最優的。
在實際通信設計中,必須考慮到存在不同種類的障礙物。它們會限制使用兩種算法構造最小生成樹(圖12a)的能力和使用幾何方法構造Steiner樹(圖12b)的能力。圖中用灰色表示障礙物。
圖12:樹和(灰色顯示的)障礙物。(a)最小生成樹,(b)Steiner樹。
我們建議從任意一個終結頂點開始。如果有超過一個的相鄰終結頂點,你應該選擇一個允許你繼續使用第二個頂點的那個頂點。這是由角度決定的。
這里的主要機制是一種基于力的算法,它會計算作用在新增頂點上的力,并反復移動它們到一個平衡點(力的幅度和方向取決于鄰近分支點的導線)。如果接入某個頂點(終點或新增點)的一對線段之間的角度小于120度(圖13a和圖13b),可以再增加一個分支點(圖13b和圖13d),然后使用力學算法優化頂點的位置(圖13c和圖13d)。最終結果如圖13e所示。
值得注意的是,只是按降序排序所有角度然后按這個順序增加新的頂點是行不通的,結果會更糟。在新加一個節點之后,你應該檢查由4個引腳組成的子網的最小性:
1.如果頂點增加到其它新增頂點的鄰近位置,要檢查最小的四引腳網絡(圖14a)。
2.如果四引腳網絡不是最小的,選擇一對“對角”(屬于四邊形對角線)終點或虛擬的終端節點(虛擬終端節點-導線彎曲)。
3.連接終點(虛擬終點)到最近的新增頂點的線段被連接終點(虛擬終點)到遠處的新增頂點的線段所代替(圖14b)。
4.使用力學算法優化頂點的位置(圖14c)。
圖14:重新構建四引腳子網(a-c):算法步驟。
這種方法并不保證構建最小的網絡,但相比其它方法,它不用牧舉就能實現最小的網絡長度。它還考慮到了終點連接被禁止的區域,并且終端節點數量可以是任意的。
其它優勢
任何角度靈活布線還有其它一些有趣的優勢。例如,如果你能借助自動的實時導線形狀重新計算功能自動移動許多物體,你可以創建并行的蛇形線。這種布線方式能夠更好的利用空間,最大限度地減小反復次數,并且允許靈活地使用容差(見圖15)。如果有兩條蛇形線相互交織在一起,自動布線器會減小其中一條或同時減小兩條的長度,具體取決于規則優先級。
圖15:在自動模式中延時校準可以按串行而不是并行的方式完成。這樣可以更好的利用空間,最大限度地減少反復次數,并靈活地使用容差。
BGA元件的布線
下面考慮BGA元件的布線[7]。在傳統的“從外圍到中心”方法中,到外圍的通道數量將隨著每個連續層而逐層減8(由于周長的減小)。例如,具有784個引腳、尺寸為28x28mm的元件需要10層。在圖中有些層存在逃逸布線。圖16顯示了一個BGA的四分之一部分。
圖16:BGA布線。“從外圍到中心”的傳統方法。
與此同時,當采用“從中心到外圍”的布線方法時,退出到外圍所要求的通道數量不會隨著層的改變而改變。這將極大地減少層的數量。對于尺寸為28x28mm的元件來說,7層就足夠了。對于尺寸更大的元件,還可以取得雙贏。圖17顯示了BGA的四分之一部分。
圖17:BGA布線。“從中心到外圍”的布線方法。
圖18顯示了一個BGA布線的例子。當采用“從中心到外圍”的布線方法時,我們可以完成所有網絡的布線(圖18b)。任意角度的拓撲式自動布線器就可以做到這一點。傳統的自動布線器則無法布線這個例子(圖18a)。
圖18:BGA布線。(頂部)傳統的自動布線器。38個網絡沒有完成布線。(底部)任意角度的拓撲式自動布線器。所有網絡都完成了布線。
真實PCB例子
圖19顯示了一個真實PCB的例子,工程師將信號層數從6層減少到了4層(與規格相比)。另外,工程師只花了半天時間就完成了這塊PCB的布線。
圖19:一個真實PCB例子。
小結
本文介紹了加快和改進PCB布線的一些方法,并展示了一些真實印刷電路板的例子。靈活的任意角度布線和層中無優先方向布線可以幫助你:
1.縮短總的導線長度
2.減小總的走線面積
3.通過縮短導線長度和減少并行長度減少電磁串擾等級
4.減少由于PCB材料的異質性引起的信號群組或差分信號中的延時失配
5.改善BGA元件的布線質量
6.通過構造Steiner樹改善網絡結構
7.方便地修改網絡拓撲
深圳宏力捷推薦服務:PCB設計打樣 | PCB抄板打樣 | PCB打樣&批量生產 | PCBA代工代料
