電源系統設計工程師總想在更小電路板面積上實現更高的功率密度,對需要支持來自耗電量越來越高的FPGA、ASIC和微處理器等大電流負載的數據中心服務器和LTE基站來說尤其如此。為達到更高的輸出電流,多相系統的使用越來越多。為在更小電路板面積上達到更高的電流水平,系統設計工程師開始棄用分立電源解決方案而選擇電源模塊。這是因為電源模塊為降低電源設計復雜性和解決與DC/DC轉換器有關的印刷電路板(PCB)布局問題提供了一種受歡迎的選擇。
本文討論了一種使用通孔布置來最大化雙相電源模塊散熱性能的多層PCB布局方法。其中的電源模塊可以配置為兩路20A單相輸出或者單路40A雙相輸出。使用帶通孔的示例PCB設計來給電源模塊散熱,以達到更高的功率密度,使其無需散熱器或風扇也能工作。
圖1:包括兩個20A輸出的ISL8240M電路
那么該電源模塊如何才能實現如此高的功率密度?圖1電路圖中顯示的電源模塊提供僅有8.5°C/W的極低熱阻θ,這是因為其襯底使用了銅材料。為給電源模塊散熱,電源模塊安裝在具有直接安裝特性的高效導熱電路板上。該多層電路板有一個頂層走線層(電源模板安裝于其上)和利用通孔連接至頂層的兩個內埋銅平面。該結構有非常高的導熱系數(低熱阻),使電源模塊的散熱很容易。
為理解這一現象,我們來分析一下ISL8240MEVAL4Z評估板的實現(圖2)。這是一個在四層電路板上支持雙路20A輸出的電源模塊評估板
圖2:ISL8240MEVAL4Z電源模塊評估板
該電路板有四個PCB層,標稱厚度為0.062英寸(±10%),并且采用層疊排列,如圖3所示。
圖3:ISL8240M電源模塊使用的四層0.062”電路板的層疊排列
該PCB主要由FR4電路板材料和銅組成,另有少量焊料、鎳和金。表1列出了主要材料的導熱系數。
SAC305* 是最流行的無鉛焊料,由96.5%錫、3.0%銀和0.5%銅組成。 W = 瓦特,in = 英寸,C = 攝氏度,m = 米,K =開氏度
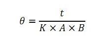
我們使用式1 來確定材料的熱阻。
式1:計算材料的熱阻
為確定圖3中電路板頂部銅層的熱阻,我們取銅層的厚度(t)并除以導熱系數與截面積之積。為計算方便,我們使用1平方英寸作為截面積,這時A=B=1英寸。銅層的厚度為2.8密耳(0.0028英寸)。這是2盎司銅沉積在1平方英寸電路板區域的厚度。系數k是銅的W/(in-°C)系數,其值等于9。因此,對于這1平方英寸2.8密耳銅的熱流,熱阻為0.0028/9=0.0003°C/W。我們可使用圖3顯示的每層尺寸和表1中的相應k系數,來計算每層1平方英寸電路板區域的熱阻。結果如圖4所示。
圖4:1平方英寸電路板層的熱阻
從這些數字,我們可知33.4密耳(t5)層的熱阻是最高的。圖4中的所有數字顯示了從頂層至底層的這四層1平方英寸電路板的總熱阻。如果我們添加一個從電路板頂層至底層的通孔連接會怎樣?我們來分析添加該通孔連接的情況。
電路板使用的通孔的成孔尺寸約為12密耳(0.012英寸)。制造該通孔時先鉆一個直徑為0.014英寸的孔,然后鍍銅,這會在孔內側增加約1密耳(0.001英寸)厚的銅壁。該電路板還使用了ENIG電鍍工藝。這在銅外表面上增加約200微英寸鎳和約5微英寸金。我們在計算中忽略這些材料,只使用銅來確定通孔的熱阻。
式2是計算圓柱形管熱阻的公式。
式2:計算圓柱形管熱阻
變量l是圓柱形管的長度,k是導熱系數,r1是較大半徑,r0是較小半徑。
對12密耳(直徑)成孔使用該式,我們有r0=6密耳(0.006英寸)、r1=7密耳(0.007英寸)和K=9(鍍銅)。
圖5:12密耳通孔的表面尺寸
變量l是通孔的長度(從頂面銅層到底面銅層)。電路板上焊接電源模塊的地方沒有阻焊層,但對其他區域,PCB設計工程師可能要求在每個通孔的頂部放置阻焊層,否則通孔上面的區域會空缺。由于通孔只連接外銅層,所以其長度為63.4密耳(0.0634英寸)。總通孔長度本身的熱阻是167°C/W,如式3所示。
式3:計算一個通孔(12密耳)的熱阻
圖6列出了連接電路板各層的每段通孔的熱阻。
圖6:連接電路板各層的通孔段的熱阻
請注意,這些值只是一個通孔本身的熱阻,并未考慮穿過電路板的每一段與圍繞它的材料是橫向連接的。
如果我們分析圖4中各個電路板層的熱阻值,并將它們與一個通孔的熱阻值進行比較,似乎該通孔的熱阻比每層的熱阻高很多,但是請注意,一個通孔只占1平方英寸電路板區域的1/5000不到。如果我們決定比較更小的電路板區域,比如0.25英寸x0.25英寸(這是前面電路板區域的1/16),則圖4中的每個熱阻值將增加到原來的16倍。例如,t4和33.4密耳厚FR4層的熱阻會從5.21875°C/W增加至83.5°C/W。僅對該0.25英寸x0.25英寸區域添加一個通孔就會使穿過該33.4密耳FR4層的熱阻減少近一半(83.5°C/W和90.91°C/W)。0.25英寸x0.25英寸方塊的面積是一個通孔的面積的約400倍。那么如果在該區域布置16個通孔會怎樣?與一個通孔相比,所有平行通孔的有效熱阻將減小16倍。圖7比較了各個0.25英寸x0.25英寸電路板層與16個通孔的熱阻。0.25英寸x0.25英寸電路板的33.4密耳厚FR4層的熱阻為83.5°C/W。16個平行通孔具有5.6821°C/W的等效熱阻。
這16個通孔只占0.25英寸x0.25英寸電路板區域面積的不到1/25,但可顯著減小從頂面到低層的熱阻連接。
圖7:熱阻值比較
請注意,當熱向下流過通孔并達到另一層時,特別是另一個銅層時,其將橫向擴散到該材料層。添加越來越多通孔最終會降低效果,因為從一個通孔橫向擴散到附近材料的熱最終會與來自另一個方向(源自從另一通孔)的熱相遇。ISL8240MEVAL4Z評估板的尺寸是3英寸x4英寸。電路板上的頂層和底層有2盎司銅,還有兩個內層各包含2盎司銅。為使這些銅層發揮作用,電路板有917個12密耳直徑的通孔,它們全都有助于將熱從電源模塊擴散到下面的銅層。
結束語
為適應電壓軌數目的增多和更高性能的微處理器和FPGA,諸如ISL8240M電源模塊等先進的電源管理解決方案,通過提供更大功率密度和更小功耗來幫助提高效率。通孔在電源模塊PCB設計中的最優實現,已成為實現更高功率密度的一個越來越重要的因素。
深圳宏力捷推薦服務:PCB設計打樣 | PCB抄板打樣 | PCB打樣&批量生產 | PCBA代工代料
